An interactive dialogue between students, parents, and mathematics teacher (Mr. Piatek) of the Maples Collegiate in Winnipeg, Manitoba, Canada. Please visit our blog frequently and post the information freely. "Imagination is more important than knowledge. Knowledge is limited. Imagination encircles the world." - Albert Einstein.
Wednesday, March 23, 2011
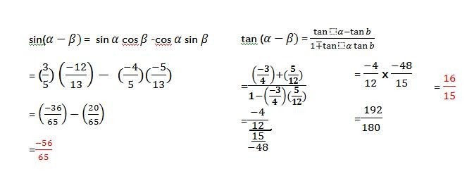
sum and difference identities (part 1)
HOMEWORK: Exercise 16, Question 1-18, Omit 5b, 6, 9a Sum and Difference Identities worksheet.
No comments:
Post a Comment